Lateral-g Forums

Lateral-g Forums (https://www.lateral-g.net/forums/index.php)
-   Open Discussion (https://www.lateral-g.net/forums/forumdisplay.php?f=14)
-   -   Need help from physics and possibly engineering majors ASAP (https://www.lateral-g.net/forums/showthread.php?t=7133)

black2002ls 12-13-2006 10:46 AM

Need help from physics and possibly engineering majors ASAP
 
Advanced Mechanics....course name

Ok, our instructor gave us a take home exam, to be done by any means necessary. lol. He is one of those who give the lecture, work some trivial examples and then ask the questions on the exams in the most complex way. I am needing help with problems related to these two topics:

Equations of constraint and Lagrange Multipliers

Coriolis force

I've tried to get help from the instructor, but he seems to not understand what I am needing help with. Please chime in if think you might be able to help. I'll scan in the two pages I am working on for those who think they can help to look over.......This is due friday..Not looking for solutions Just some help. I'll explain what I need help with when I post the scans

black2002ls 12-13-2006 11:05 AM

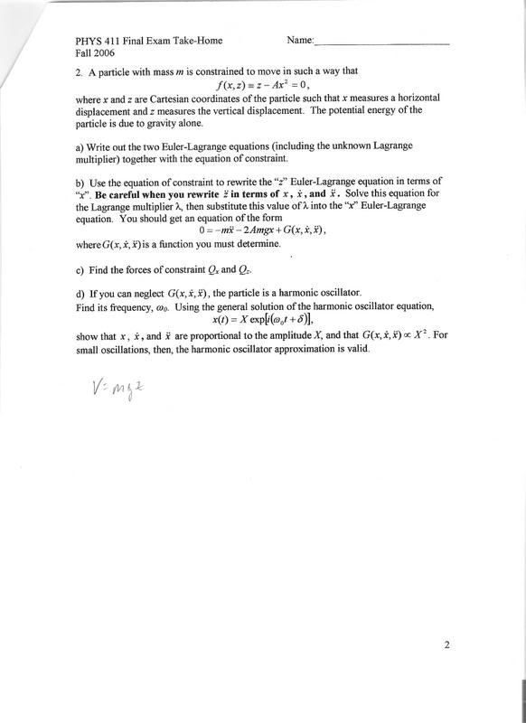
The first question I have is with the constraint problem. He doesn't give us the potential and kinetic energy equations. The potential should be the mgz since z is in the vertical direction. But I have no clue on the potential energy

http://i12.photobucket.com/albums/a2...constraint.jpg

black2002ls 12-13-2006 11:09 AM

now for the problem with the Coriolis Force. I have it written in terms of the vector v, But I am having trouble with expressing the radius as a function of v

http://i12.photobucket.com/albums/a2...s/coriolis.jpg

black2002ls 12-13-2006 11:10 AM

I really hope that someone can help. If you would rather try to explain over the phone that is fine, just e-mail me your phone number and I will call you. [email protected] I work from 2:30 to 8 PM tonight. I will be checking my e-mail on my phone and can call on a break or tonight when I get off. Thank you in advance to anyone that is able to provide a little bit of help!

ZZ3ElCamino 12-13-2006 12:25 PM

Oh yes, this brings me back....I graduated from the University of Arizona with a mechanical engineering degree, however I have lost alot of the hardcore math knowledge because I don't use it. I feel your pain though. Good luck with you finals!

Mean 69 12-14-2006 08:54 AM

Me too, and sorry. It'd take me longer to remember this stuff/re-teach myself than it would for you to learn it yourself. After all of teh Quantum Mechanics, Classical Mechanics, calculus, vector calc, and a heavy dose of applied optics, I don't remember a whole lot, because I NEVER use any of it anymore either.

Good luck, honestly.
M

Ummgawa 12-14-2006 10:44 AM

The answer is 3.

Ummgawa 12-14-2006 11:14 AM

Dude I feel your pain.

KAA 12-14-2006 12:29 PM

:eek:

wiedemab 12-14-2006 12:38 PM

Technically I should be able to help, but unfortunately........
 
It's kind of sad, I have an BSME from Purdue University and have not used the vast majority of what I learned in my undergrad. Use it or lose it - I've lost it!

Good Luck! Sorry that I'm no help

Brandon


All times are GMT -7. The time now is 09:11 PM.

Powered by vBulletin® Version 3.8.11
Copyright ©2000 - 2026, vBulletin Solutions Inc.
Copyright Lateral-g.net