...

Go Back   Lateral-g Forums > Lateral-G Open Discussions > Open Discussion
User Name
Password



Reply
 
Thread Tools Display Modes
  #1  
Old 12-13-2006, 10:46 AM
black2002ls black2002ls is offline
Senior Member
 
Join Date: May 2005
Location: greenville, tx
Posts: 675
Thanks: 0
Thanked 1 Time in 1 Post
Exclamation Need help from physics and possibly engineering majors ASAP

Advanced Mechanics....course name

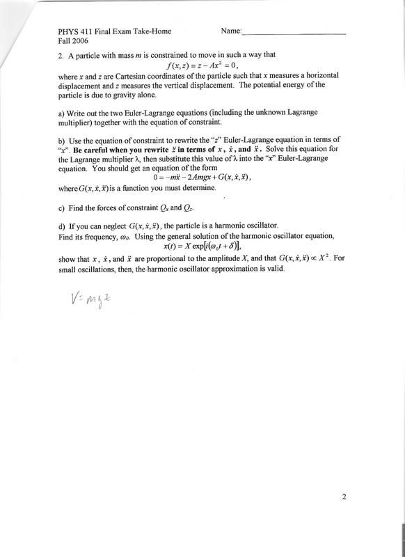
Ok, our instructor gave us a take home exam, to be done by any means necessary. lol. He is one of those who give the lecture, work some trivial examples and then ask the questions on the exams in the most complex way. I am needing help with problems related to these two topics:

Equations of constraint and Lagrange Multipliers

Coriolis force

I've tried to get help from the instructor, but he seems to not understand what I am needing help with. Please chime in if think you might be able to help. I'll scan in the two pages I am working on for those who think they can help to look over.......This is due friday..Not looking for solutions Just some help. I'll explain what I need help with when I post the scans
__________________
1/12th scale 1969 Sunset Orange Metallic Camaro Pro Touring Style>>
Progress Thread

Artwork Page
Reply With Quote
  #2  
Old 12-13-2006, 11:05 AM
black2002ls black2002ls is offline
Senior Member
 
Join Date: May 2005
Location: greenville, tx
Posts: 675
Thanks: 0
Thanked 1 Time in 1 Post
Default

The first question I have is with the constraint problem. He doesn't give us the potential and kinetic energy equations. The potential should be the mgz since z is in the vertical direction. But I have no clue on the potential energy

__________________
1/12th scale 1969 Sunset Orange Metallic Camaro Pro Touring Style>>
Progress Thread

Artwork Page
Reply With Quote
  #3  
Old 12-13-2006, 11:09 AM
black2002ls black2002ls is offline
Senior Member
 
Join Date: May 2005
Location: greenville, tx
Posts: 675
Thanks: 0
Thanked 1 Time in 1 Post
Default

now for the problem with the Coriolis Force. I have it written in terms of the vector v, But I am having trouble with expressing the radius as a function of v

__________________
1/12th scale 1969 Sunset Orange Metallic Camaro Pro Touring Style>>
Progress Thread

Artwork Page
Reply With Quote
  #4  
Old 12-13-2006, 11:10 AM
black2002ls black2002ls is offline
Senior Member
 
Join Date: May 2005
Location: greenville, tx
Posts: 675
Thanks: 0
Thanked 1 Time in 1 Post
Default

I really hope that someone can help. If you would rather try to explain over the phone that is fine, just e-mail me your phone number and I will call you. [email protected] I work from 2:30 to 8 PM tonight. I will be checking my e-mail on my phone and can call on a break or tonight when I get off. Thank you in advance to anyone that is able to provide a little bit of help!
__________________
1/12th scale 1969 Sunset Orange Metallic Camaro Pro Touring Style>>
Progress Thread

Artwork Page
Reply With Quote
  #5  
Old 12-13-2006, 12:25 PM
ZZ3ElCamino's Avatar
ZZ3ElCamino ZZ3ElCamino is offline
Senior Member
 
Join Date: May 2006
Location: 303 Colorado
Posts: 518
Thanks: 0
Thanked 0 Times in 0 Posts
Default

Oh yes, this brings me back....I graduated from the University of Arizona with a mechanical engineering degree, however I have lost alot of the hardcore math knowledge because I don't use it. I feel your pain though. Good luck with you finals!
Reply With Quote
  #6  
Old 12-14-2006, 08:54 AM
Mean 69 Mean 69 is offline
Senior Member
 
Join Date: Jul 2005
Location: Carlsbad, CA
Posts: 375
Thanks: 0
Thanked 0 Times in 0 Posts
Default

Me too, and sorry. It'd take me longer to remember this stuff/re-teach myself than it would for you to learn it yourself. After all of teh Quantum Mechanics, Classical Mechanics, calculus, vector calc, and a heavy dose of applied optics, I don't remember a whole lot, because I NEVER use any of it anymore either.

Good luck, honestly.
M
Reply With Quote
  #7  
Old 12-14-2006, 10:44 AM
Ummgawa's Avatar
Ummgawa Ummgawa is offline
Moderator
 
Join Date: Jul 2004
Location: Douglasville, Ga.
Posts: 2,877
Thanks: 97
Thanked 43 Times in 22 Posts
Default

The answer is 3.
__________________
Jim
Reply With Quote
  #8  
Old 12-14-2006, 11:14 AM
Ummgawa's Avatar
Ummgawa Ummgawa is offline
Moderator
 
Join Date: Jul 2004
Location: Douglasville, Ga.
Posts: 2,877
Thanks: 97
Thanked 43 Times in 22 Posts
Default

Dude I feel your pain.
__________________
Jim
Reply With Quote
  #9  
Old 12-14-2006, 12:29 PM
KAA's Avatar
KAA KAA is offline
Senior Member
 
Join Date: Jul 2005
Location: Minnesota
Posts: 252
Thanks: 0
Thanked 0 Times in 0 Posts
Default

__________________
Keith

'70 El Camino SS L78 396 - It's back!
Lateral-g Feature
Chevy High Performance Feature

'09 Viper SRT-10X
Car Craft 2009 RSE Winner
Car Craft Feature
NARRA Road America TTU Record Holder
Reply With Quote
  #10  
Old 12-14-2006, 12:38 PM
wiedemab's Avatar
wiedemab wiedemab is offline
Senior Member
 
Join Date: Oct 2005
Location: Batesville, IN
Posts: 1,475
Thanks: 0
Thanked 7 Times in 3 Posts
Default Technically I should be able to help, but unfortunately........

It's kind of sad, I have an BSME from Purdue University and have not used the vast majority of what I learned in my undergrad. Use it or lose it - I've lost it!

Good Luck! Sorry that I'm no help

Brandon
__________________
__________________
Brandon Wiedeman
'72 Suburban
'67 Chevy II -
https://lateral-g.net/forums/showthread.php4?t=46846

I have about 3 lifetimes worth of projects planned out in my head!
Reply With Quote
Reply


Posting Rules
You may not post new threads
You may not post replies
You may not post attachments
You may not edit your posts

BB code is On
Smilies are On
[IMG] code is On
HTML code is Off

Forum Jump


All times are GMT -7. The time now is 09:06 AM.


Powered by vBulletin® Version 3.8.11
Copyright ©2000 - 2026, vBulletin Solutions Inc.
Copyright Lateral-g.net